이 누리집은 대한민국 공식 전자정부 누리집입니다.
21년도 책임운영기관 종합평가 최우수기관

예보·속보

수산과학기술 혁신을 이끄는 글로벌 연구기관
국립수산과학원 수온·위성영상 게시글로 작성자, 작성일, 조회수, 내용을 나타낸 표입니다.
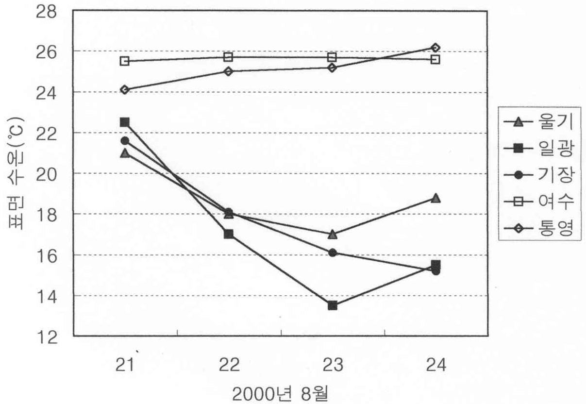
냉수대와 적조 발생해역 수온 정보(해양자료속보, 제 1881호)
작성자 작성일 2000-08-25 조회수 3,912
o 냉수대 주의보가 내려져 있는 동해 남부 연안 일대의 수온은 (2000년 8월 24일 오전 10시 현재) 울산 19도, 일광 15.5도, 기장 15도로 나타나고 있습니다. o 적조 발생 주변해역에서의 오늘 오전 10시 수온은 통영 26도, 여수 25.5도 고흥 26.5도로 나타나고 있습니다. o 동해 남부의 냉수대 발생 해역과 남해 중부 적조 발생 주변해역의 최근 일일 수온 변동(8월 21∼8월 24일)은 아래 그림과 같습니다.
TOP